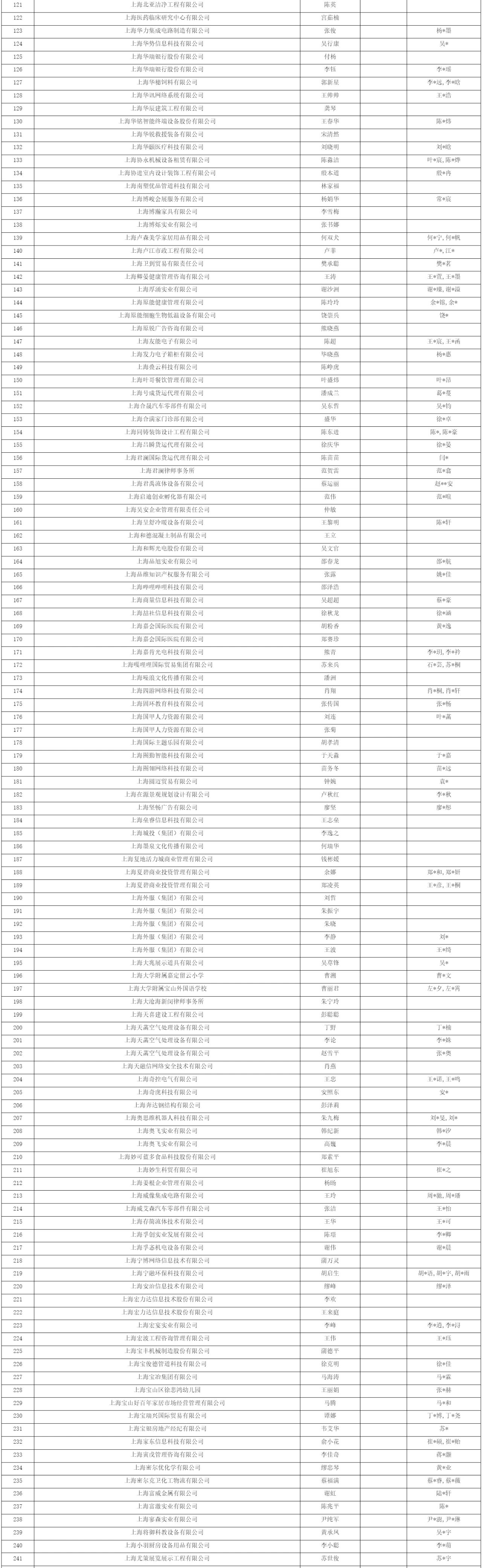
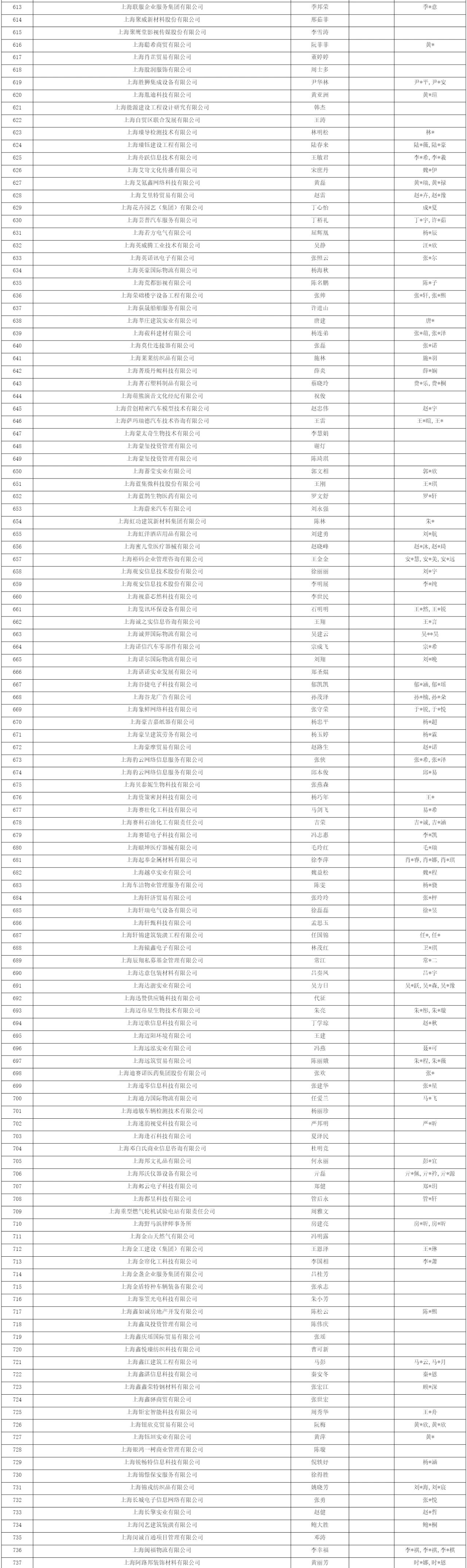
10月上海落户公示名单虽迟但到!最新一批居转户公示名单共1149人,官方公示网址——持有《上海市居住证》人员申办本市常住户口公示名单:https://www.sh-italent.com/Article/202510/202510160010.shtml(复制到浏览器查看)。公示时间自2025-10-16至2025-10-20,共5天。
不确定自己是否符合上海落户条件?点击【上海落户条件自测】一键自查









版权声明
一对一规划顾问
为了确保您的测评结果更准确, 我们申请您留下联系方式以便我们人工审核后通过电话回访告诉您准确的测评结果。*您的信息受 《隐私保护声明》保护
提交成功



